Помогите решить.Шарик массой m=200 г ударился о стенку со скоростью v = =10 м/c и отскочил от нее с такой же скоростью. Определить импульс Р, полученный стенкой, если до удара шарик двигался под углом a = =30° к плоскости стенки?
Ответы
Ответ дал:
0
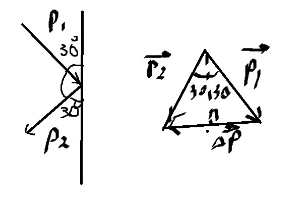
Решим геометрически
dp=2mV*sin30=2*0.2*10*0.5=2 кг*м/с
dp=2mV*sin30=2*0.2*10*0.5=2 кг*м/с
Приложения:

Вас заинтересует
2 года назад
2 года назад
3 года назад
3 года назад
9 лет назад
9 лет назад
10 лет назад