• Предмет: Алгебра
  • Автор: 13579014
  • Вопрос задан 9 лет назад

Найдите значение выражения пож.

Приложения:

Ответы

Ответ дал: Ruslan007007008009
0
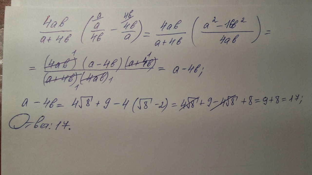
Все решение подробно ниже на фото: 
Приложения:
Ответ дал: Ruslan007007008009
0
Спасибо большое)
Вас заинтересует