• Предмет: Алгебра
  • Автор: шаьалцщ03ц20033в
  • Вопрос задан 9 лет назад

ОЧЕНЬ СРОЧНО!
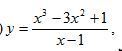
Нужно найти производную функции.
Желательно подробное решение

Приложения:

Ответы

Ответ дал: ВладимирБ
0
Решение смотри на фото
Приложения:
Вас заинтересует