• Предмет: Алгебра
  • Автор: maidanskiy10
  • Вопрос задан 9 лет назад

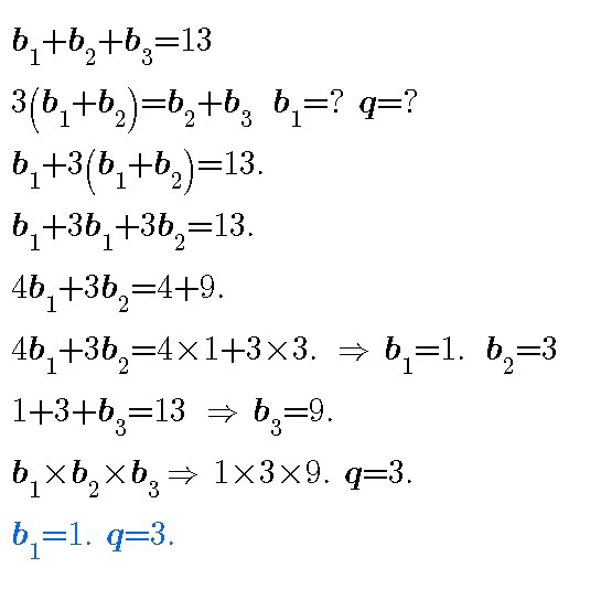
найти b1 и q если b1+b2+b3=13 3(b1+b2)=b2+b3
геометрическая прогрессия

Ответы

Ответ дал: BETTELGEUSE
0
.............................................
Приложения:
Ответ дал: Maiss1
0
Очень странный способ решения, но быстрый )
Вас заинтересует