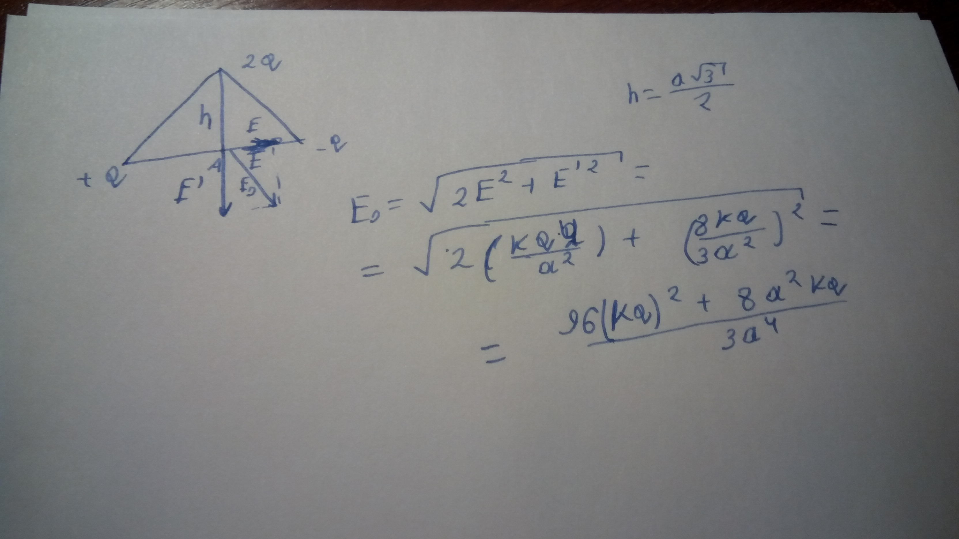
У вершинах равностороннего треугольника со стороной a розмещены заряди q1=+q, q2=+2q, q3=-q. Определить напряжение поля у точке A.
Приложения:

Ответы
Ответ дал:
0
Решение на фотографии
Приложения:

Вас заинтересует
2 года назад
2 года назад
3 года назад
3 года назад
9 лет назад
9 лет назад
10 лет назад