• Предмет: Алгебра
  • Автор: kirzaeva
  • Вопрос задан 9 лет назад

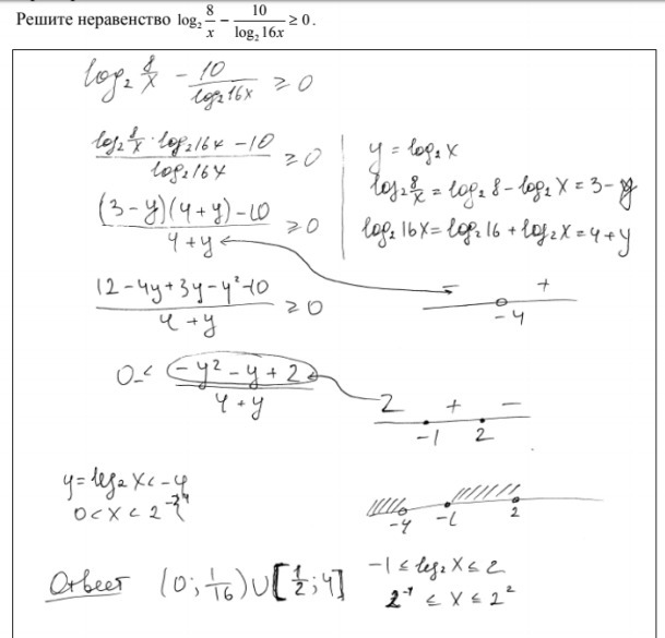
Помогите найти ошибку в решении неравенства . Прокомментируйте, пожалуйста

Приложения:

Ответа на этот вопрос пока нет. Попробуйте найти его через форму поиска.

Вас заинтересует