• Предмет: Алгебра
  • Автор: Vladivostok200
  • Вопрос задан 9 лет назад

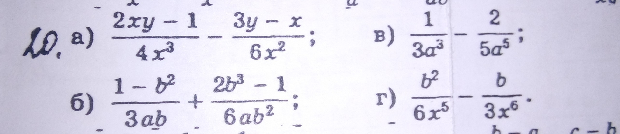
помогите, пожалуйста, алгебра, 7 класс.

Приложения:

Ответы

Ответ дал: MrsNoProblem
0
Написала, ответ в закреплении
Приложения:
Вас заинтересует