• Предмет: Математика
  • Автор: alessandra808
  • Вопрос задан 9 лет назад

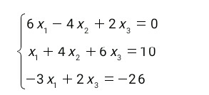
Решить систему линейных уравнений с помощью формул Крамера

Приложения:

Ответа на этот вопрос пока нет. Попробуйте найти его через форму поиска.

Вас заинтересует