Ответы
Ответ дал:
0
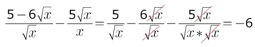
для любых икс это выражение = -6
Приложения:

Вас заинтересует
2 года назад
2 года назад
3 года назад
3 года назад
9 лет назад