• Предмет: Математика
  • Автор: sashagewar
  • Вопрос задан 9 лет назад

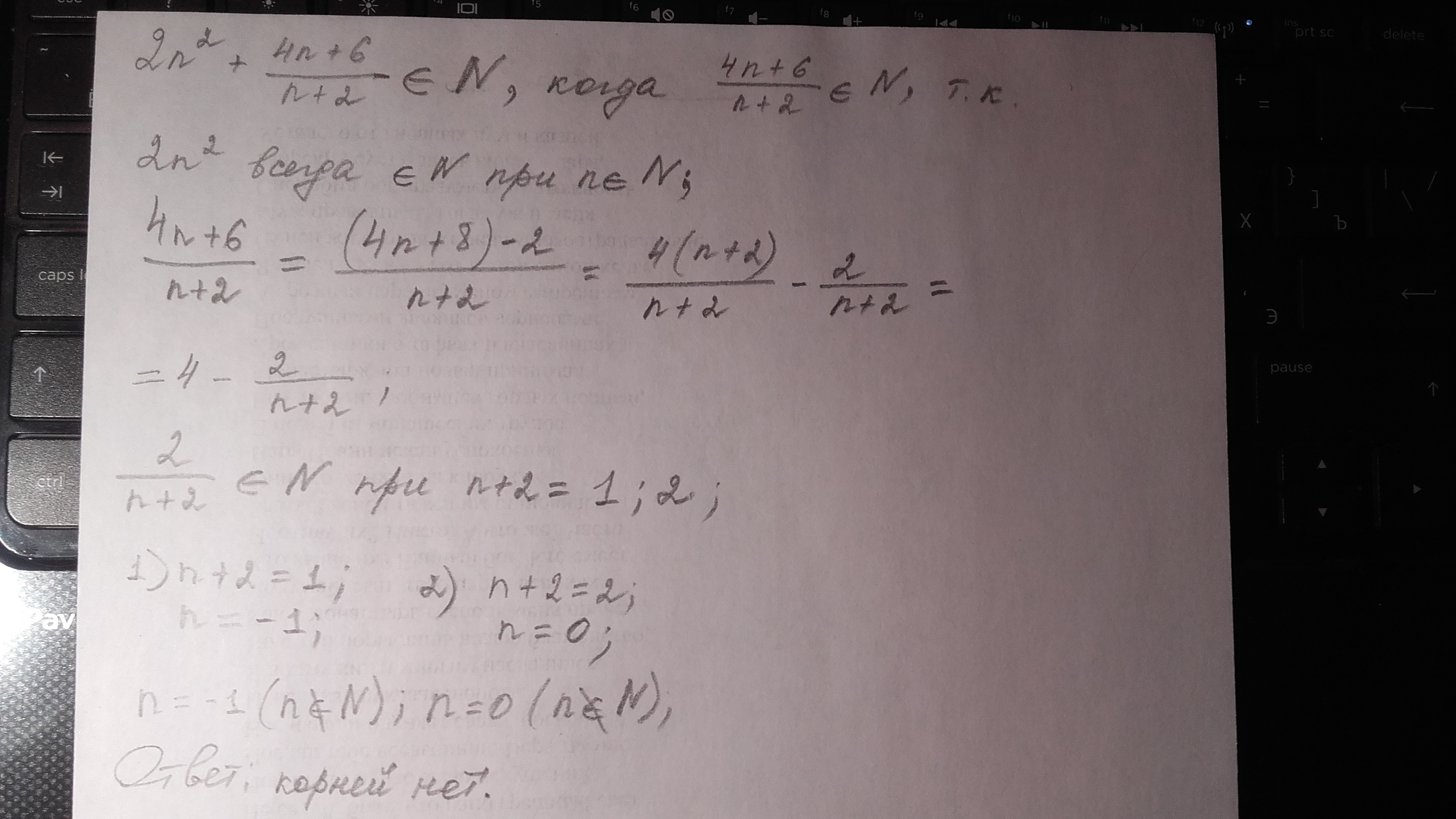
Используя многочлены найдите n принадлежит N , при которых 2n^2+4n+6/n+2 принадлежит N . Помогите плз

Ответы

Ответ дал: Ruslan007007008009
0
Решение ниже на фото:
Приложения:
Вас заинтересует