Ответы
Ответ дал:
0
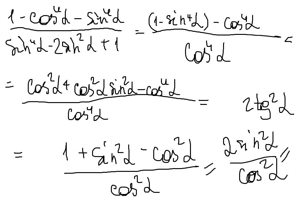
Вот как то так должно получится.
Приложения:

Вас заинтересует
3 года назад
3 года назад
9 лет назад
9 лет назад
10 лет назад
10 лет назад