• Предмет: Математика
  • Автор: loadupguns
  • Вопрос задан 9 лет назад

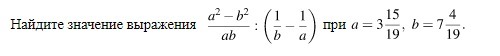
Найдите зна­че­ние выражения при...........

Приложения:

Ответа на этот вопрос пока нет. Попробуйте найти его через форму поиска.

Вас заинтересует