• Предмет: Математика
  • Автор: belkaxd05
  • Вопрос задан 9 лет назад

Помогите пожалуйста решить пример!)

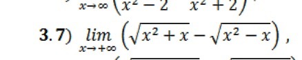
Приложения:

Ответы

Ответ дал: NNNLLL54
0
 limlimits _{x to infty}( sqrt{x^2+x}-sqrt{x^2-x} )= limlimits_{x to infty}, frac{(x^2+x)-(x^2-x)}{sqrt{x^2+x}+sqrt{x^2-x}}=\\= limlimits _{x to infty}frac{2x}{sqrt{x^2+x}-sqrt{x^2-x}}=[frac{:x}{:x}]=limlimits _{x to infty}frac{2}{sqrt{1+frac{1}{x}}+sqrt{1-frac{1}{x}} }= frac{2}{1+1} =1\\\P.S.; ;  frac{ sqrt{x^2+x} }{x}=sqrt{frac{x^2+x}{x^2}}=sqrt{ frac{x^2}{x^2} +frac{x}{x^2}}= sqrt{ 1+frac{1}{x}} ; ,\\frac{1}{x}to 0; ; (xto infty )
Вас заинтересует