Ответы
Ответ дал:
0
B+Q+C+O+D
Надо измерить угол BADи из него вычесть 30 градусов(допустим 60-30=30)
Получаемый результат(к примеру 30) прибавить к результату угла BAD(допустим 60+30=90)
Дальше измерить сколько см OQ(пример:4 см
И (например 90+4=94
Вот и все
Ответ дал:
0
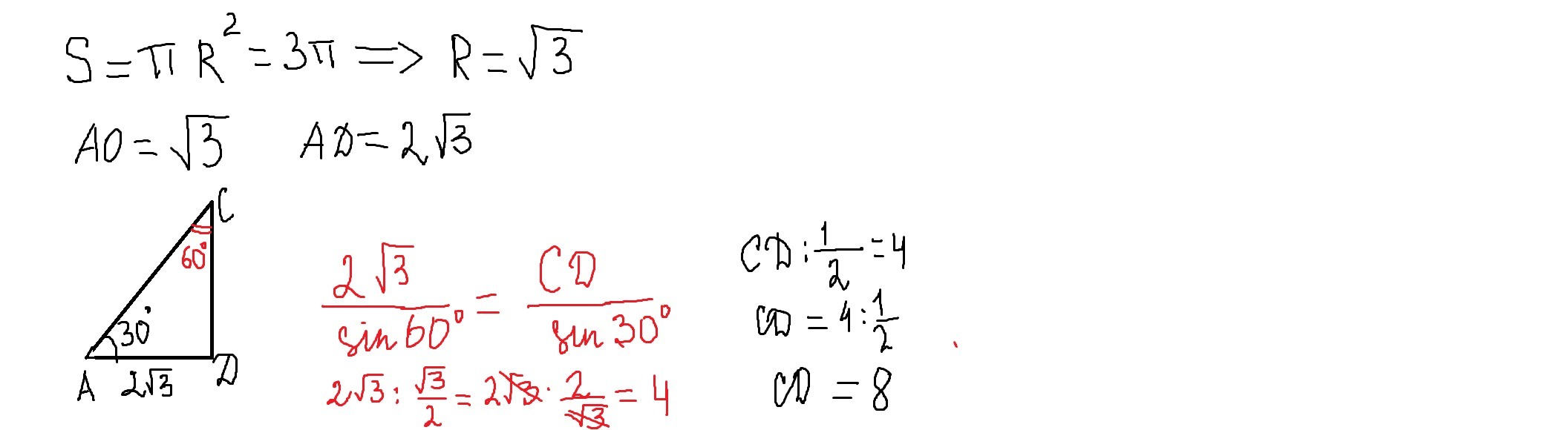
угол С=180-30-90=60°
зная площадь круга,находим его радиус АО,а затем диаметр АД.
по теореме синусов находим СД,а это и есть высота цилиндра СД=ОQ
зная площадь круга,находим его радиус АО,а затем диаметр АД.
по теореме синусов находим СД,а это и есть высота цилиндра СД=ОQ
Приложения:
Вас заинтересует
2 года назад
2 года назад
3 года назад
9 лет назад
10 лет назад