• Предмет: Математика
  • Автор: marinkasolova
  • Вопрос задан 9 лет назад

Прошу помочь решить 7 пример !!!!!!!!!

Приложения:

Ответы

Ответ дал: ThaiGuide
0
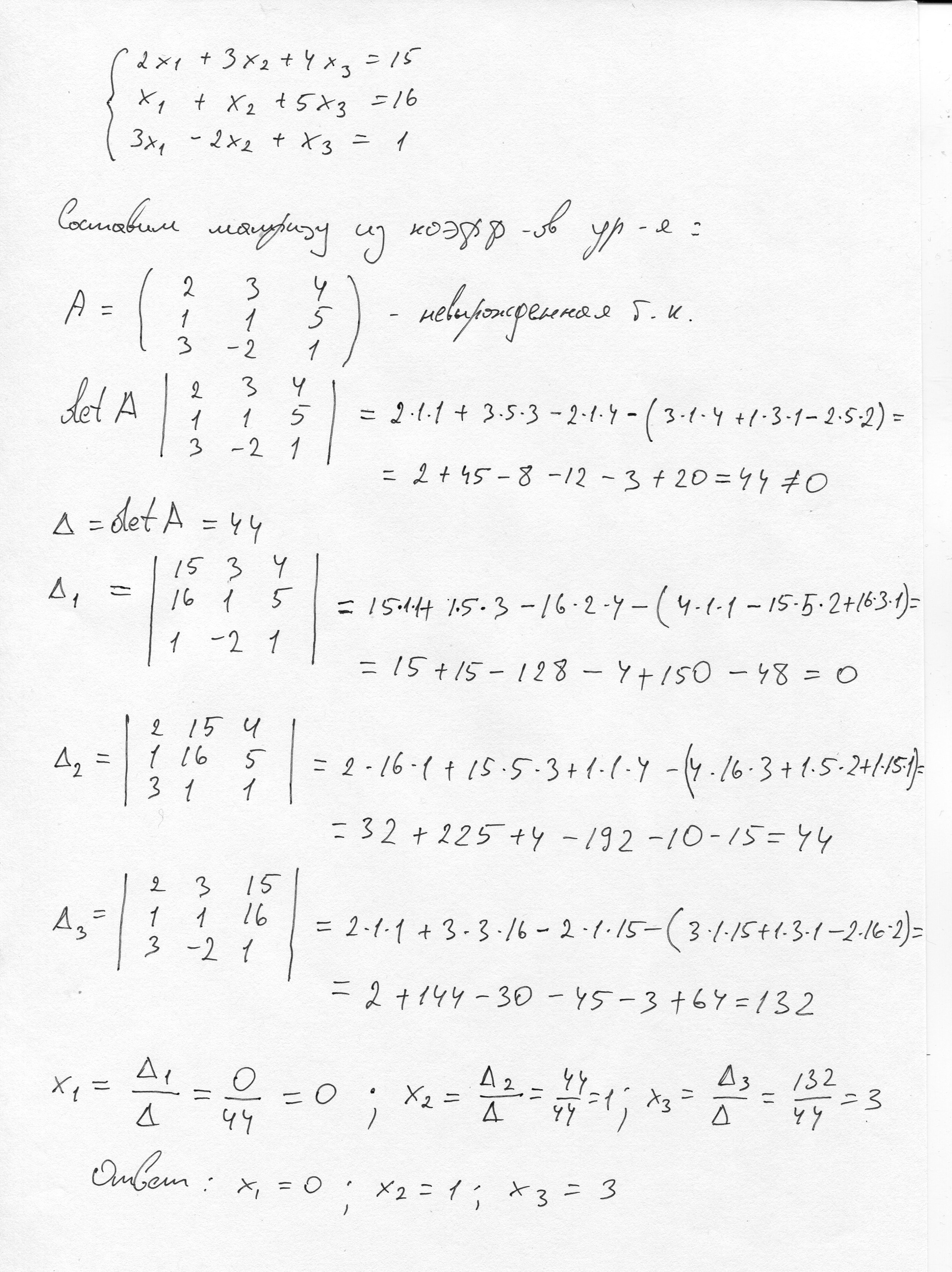
Скан решения правилом Крамера
Приложения:
Вас заинтересует