• Предмет: Алгебра
  • Автор: nnast
  • Вопрос задан 9 лет назад

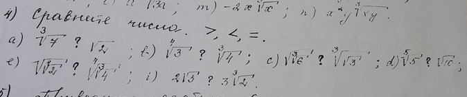
помогите с алгеброй, пожалуйста!!!!!!!!!!!

Приложения:

Ответы

Ответ дал: Аноним
0
Решение на фото///////////
Приложения:
Вас заинтересует