• Предмет: Математика
  • Автор: яжка228
  • Вопрос задан 9 лет назад

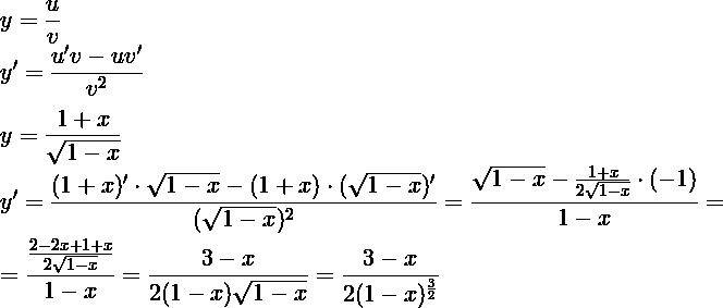
Найдите производную функции

У= 1+Х/кв.корень(1-х)

Ответы

Ответ дал: Trover
0
y=frac{u}{v}\y'=frac{u'v-uv'}{v^2}\\y=frac{1+x}{sqrt{1-x}}\y'=frac{(1+x)'cdotsqrt{1-x}-(1+x)cdot(sqrt{1-x})'}{(sqrt{1-x})^2}=frac{sqrt{1-x}-frac{1+x}{2sqrt{1-x}}cdot(-1)}{1-x}=frac{frac{2-2x+1+x}{2sqrt{1-x}}}{1-x}=\=frac{3-x}{2(1-x)sqrt{1-x}}=frac{3-x}{2(1-x)^{frac32}}
Приложения:
Вас заинтересует