Ответы
Ответ дал:
0
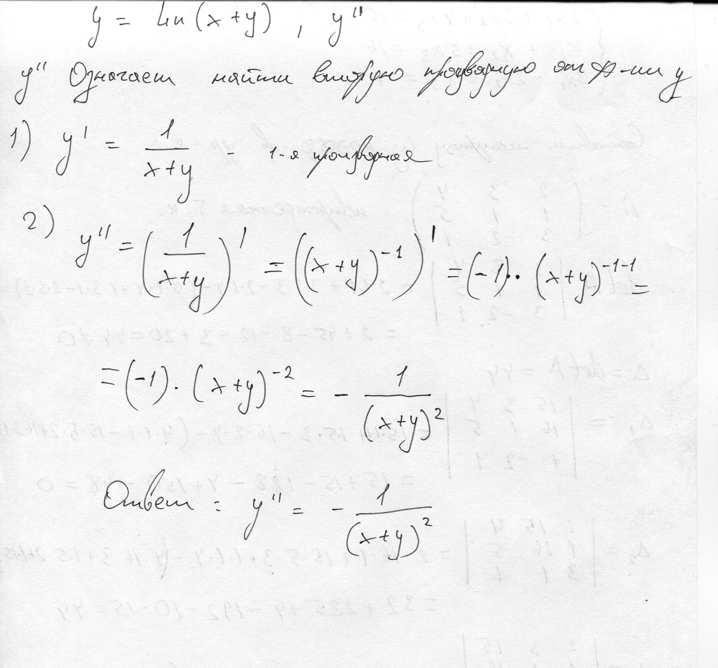
Скан решения задания
Приложения:

Ответ дал:
0
нет извини это неправильное решение
Ответ дал:
0
Ну таки да, вон игрек только слева дифференцировался, а справа нет
Вас заинтересует
2 года назад
3 года назад
9 лет назад
10 лет назад