• Предмет: Математика
  • Автор: Asgoron
  • Вопрос задан 9 лет назад

Срочно нужно решить производную функцию. Ребят выручите)

Приложения:

Ответы

Ответ дал: Trover
0
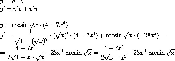
y=ucdot v\y'=u'v+v'u\\y=arcsinsqrt xcdot(4-7x^4)\y'=frac1{sqrt{1-(sqrt x)^2}}cdot(sqrt x)'cdot(4-7x^4)+arcsinsqrt xcdot(-28x^3)=\=frac{4-7x^4}{2sqrt{1-x}cdotsqrt x}-28x^3cdotarcsinsqrt x=frac{4-7x^4}{2sqrt{x-x^2}}-28x^3cdotarcsinsqrt x
Приложения:
Ответ дал: Asgoron
0
Поздно... А ну и Херсоне с ним)))
Вас заинтересует