Ответы
Ответ дал:
0
Решение смотри на фото
Приложения:

Ответ дал:
0
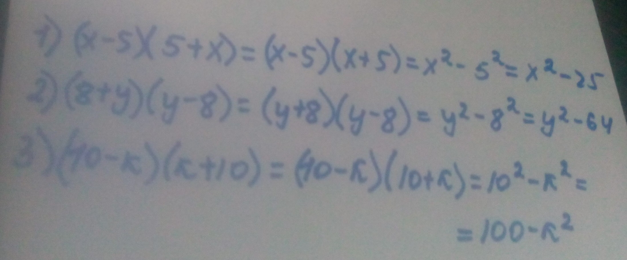
1) (х-5)(5+х)= (х-5)(х+5)= х²-5²=х²-25
2) (8+у)(у-8)= (у+8)(у-8)= у²-8²= у²-64
3) (10-k)(k+10)= (10-k)(10+k)= 10²-k²=100-k²
2) (8+у)(у-8)= (у+8)(у-8)= у²-8²= у²-64
3) (10-k)(k+10)= (10-k)(10+k)= 10²-k²=100-k²
Приложения:

Вас заинтересует
2 года назад
2 года назад
3 года назад
3 года назад
9 лет назад
9 лет назад
10 лет назад
10 лет назад