Ответы
Ответ дал:
0
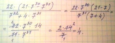
Условие читается двояко. Если я правильно его воспроизвела, то решение во вложенном изображении
Приложения:

Вас заинтересует
2 года назад
2 года назад
3 года назад
3 года назад
9 лет назад
10 лет назад