• Предмет: Математика
  • Автор: lectorgannibal
  • Вопрос задан 9 лет назад

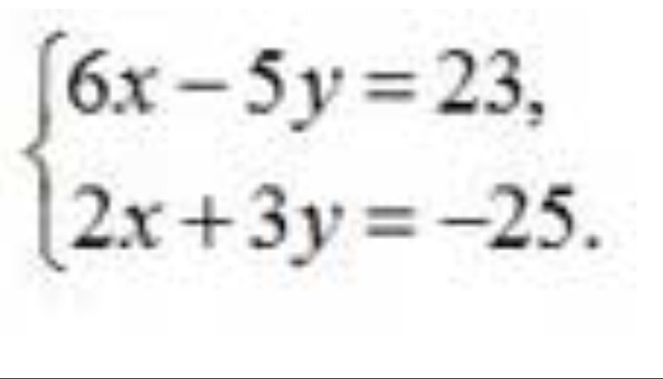
Пусть (х₀:у₀) - решение системы уравнений (картинка ниже),найдите х₀-у₀

Приложения:

Ответа на этот вопрос пока нет. Попробуйте найти его через форму поиска.

Вас заинтересует