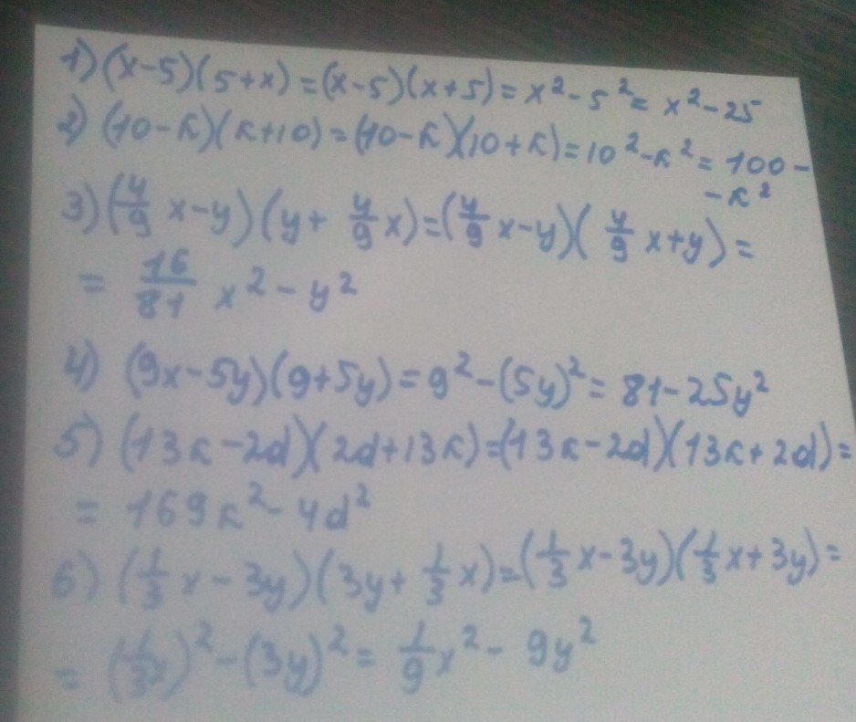
Выполните действие:
1) (х-5)(5+х);
3) (10-к)(к+10);
5) (4/9х-у)(у+4/9х);
7) (9х-5у)(9х+5у);
9) (13к-2д)(2д+13к);
11) (1/3х-3у)(3у+1/3х)
ПОЖАЛУЙСТА, ПОМОГИТЕ
Ответы
Ответ дал:
0
Решение смотри на фото
Приложения:

Ответ дал:
0
ВладимерБ только сразу ответ написал
Ответ дал:
0
а я все подробно написала
Ответ дал:
0
Окей
Ответ дал:
0
Подобно нужно писать. Это же не формулы,чтобы сразу)
Ответ дал:
0
Подробно*
Ответ дал:
0
решение есть на фото.
Приложения:

Вас заинтересует
2 года назад
2 года назад
3 года назад
3 года назад
9 лет назад
9 лет назад