30б........СРОЧНО НУЖНА ПОМОЩЬ!!!!!!!!!!!!!!!!!
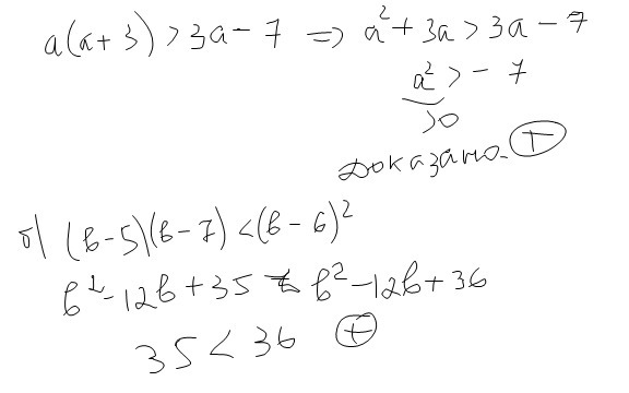
Докажите неравенство: а) а(а+3) > 3а-7 б) (b-5)(b-7) < (b-6)^2
Ответы
Ответ дал:
0
Все неравенства были верны для всех х
Приложения:

Ответ дал:
0
,))))))))))))))))))))
Приложения:

Вас заинтересует
2 года назад
3 года назад
9 лет назад
9 лет назад
10 лет назад
10 лет назад