Ответы
Ответ дал:
0
Вот держите !!!!!!!!!!!!!!!!
//PascalABC.NET 3.3,сборка 1611 от 06.01.2018
//Внимание! Если программа не работает, обновите версию!
begin
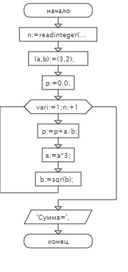
var n:=readinteger('n=');
var (a,b):=(3,2); var p:=0.0;
for var i:=1 to n do
begin
p:=p+a/b;
a:=a*3; b:=sqr(b);
end;
Writeln('Сумма=',p);
end.
//PascalABC.NET 3.3,сборка 1611 от 06.01.2018
//Внимание! Если программа не работает, обновите версию!
begin
var n:=readinteger('n=');
var (a,b):=(3,2); var p:=0.0;
for var i:=1 to n do
begin
p:=p+a/b;
a:=a*3; b:=sqr(b);
end;
Writeln('Сумма=',p);
end.
Приложения:
Вас заинтересует
2 года назад
2 года назад
3 года назад
3 года назад
10 лет назад