• Предмет: Алгебра
  • Автор: Netik13
  • Вопрос задан 9 лет назад

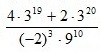
Решите уравнение. Дам много баллов!!!

Приложения:

Ответы

Ответ дал: merizagirnap2an06
0
 frac{3 ^{19}*10 }{-8*(3 ^{2}) ^{10}   }  =  frac{3 ^{19}*10 }{-8*3 ^{20} }  =  frac{10}{-24}  =  frac{5}{-12}
Ответ дал: Netik13
0
кам
Ответ дал: Netik13
0
ам
Ответ дал: Nina1952
0
Смотри /////////////////////////
Приложения:
Вас заинтересует