• Предмет: Математика
  • Автор: 89260376732
  • Вопрос задан 9 лет назад

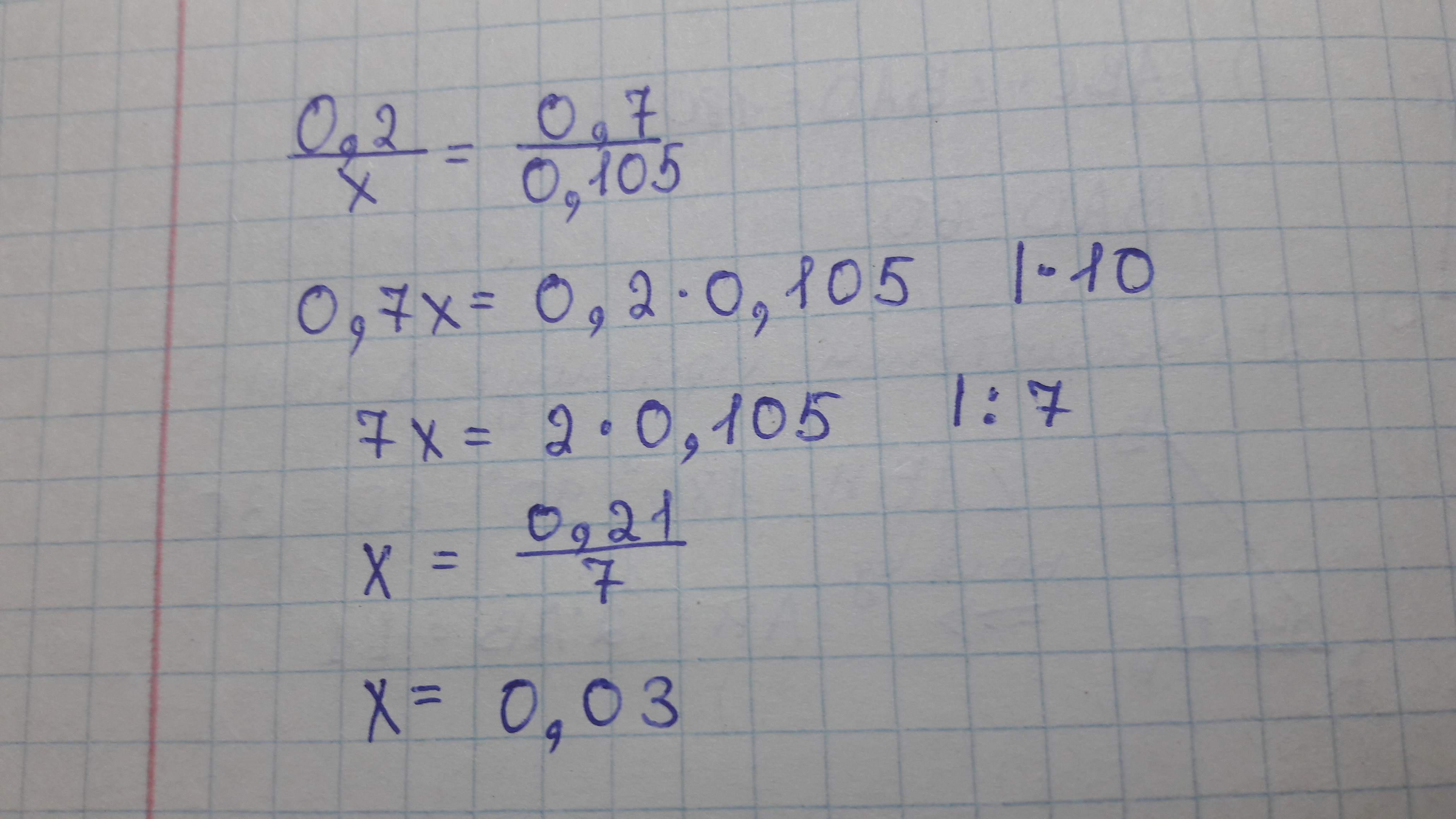
0,2/х=0,7/0,105 решите пж уравнение

Ответы

Ответ дал: OlgaVolova
0
Я применила свойство пропорции (перемножила накрест)
Приложения:
Вас заинтересует