• Предмет: Алгебра
  • Автор: АленкаВоронова2001
  • Вопрос задан 9 лет назад

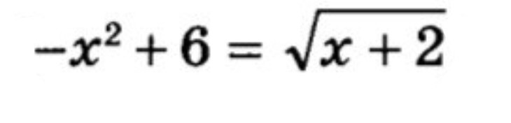
Очень нужно! 30 баллов! Завтра зачёт! Как решать такие уравнения? Помогите, пожалуйста! 9 класс.

Приложения:

Ответы

Ответ дал: ФаяФарида
0
Я сама еще до 9 классе не дошла но помочь хочу незнаю правильно или нет но держи
Приложения:
Ответ дал: АленкаВоронова2001
0
Спасибо огромное! А что за приложение?
Ответ дал: ФаяФарида
0
Фотоматч
Вас заинтересует