Ответы
Ответ дал:
0
2) 2х^2 +3x - 4x^2 -6 = -2x^2 + 3x - 6
3) 15m^2 + 24mn - 20mn -32n^2 = 15m^2 +4mn - 32n^2
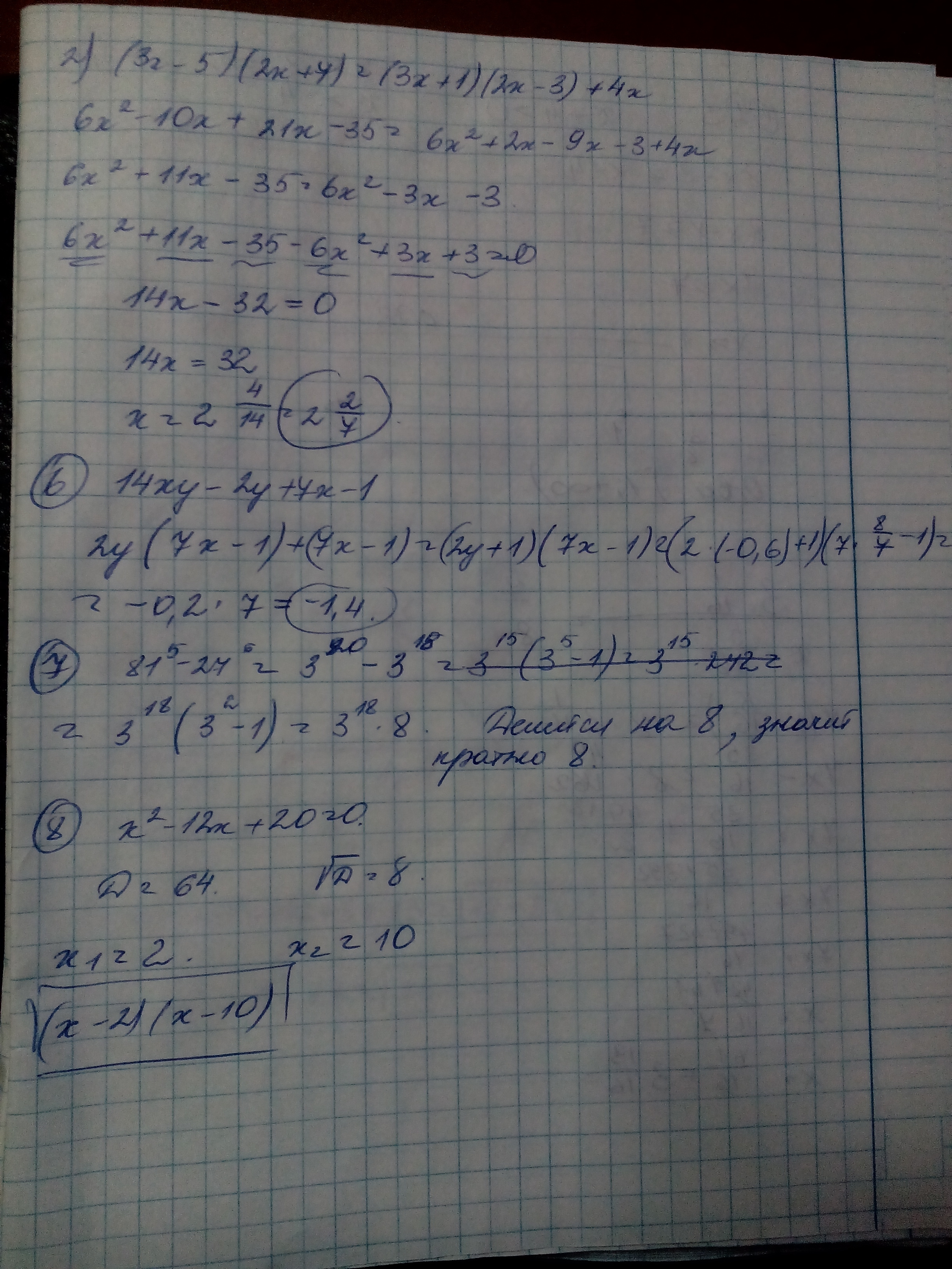
5. 2) 6x^2 +21x-10x - 35= 6x^2-9x+2x-3+4x
6x^2 сокращаются получается
14x=33
x= 2 5/14
3) 15m^2 + 24mn - 20mn -32n^2 = 15m^2 +4mn - 32n^2
5. 2) 6x^2 +21x-10x - 35= 6x^2-9x+2x-3+4x
6x^2 сокращаются получается
14x=33
x= 2 5/14
Ответ дал:
0
Это есть
Ответ дал:
0
каких нет?
Ответ дал:
0
С 5 по 8
Ответ дал:
0
Вот держи,весь тест
Приложения:


Вас заинтересует
2 года назад
3 года назад
3 года назад
9 лет назад
9 лет назад
10 лет назад