33 балла хеееееееееееееееееееееееееееееееееееееееееееееееееееееееееееееееееееееееееееееееееееелп с дср
Приложения:
Ответы
Ответ дал:
0
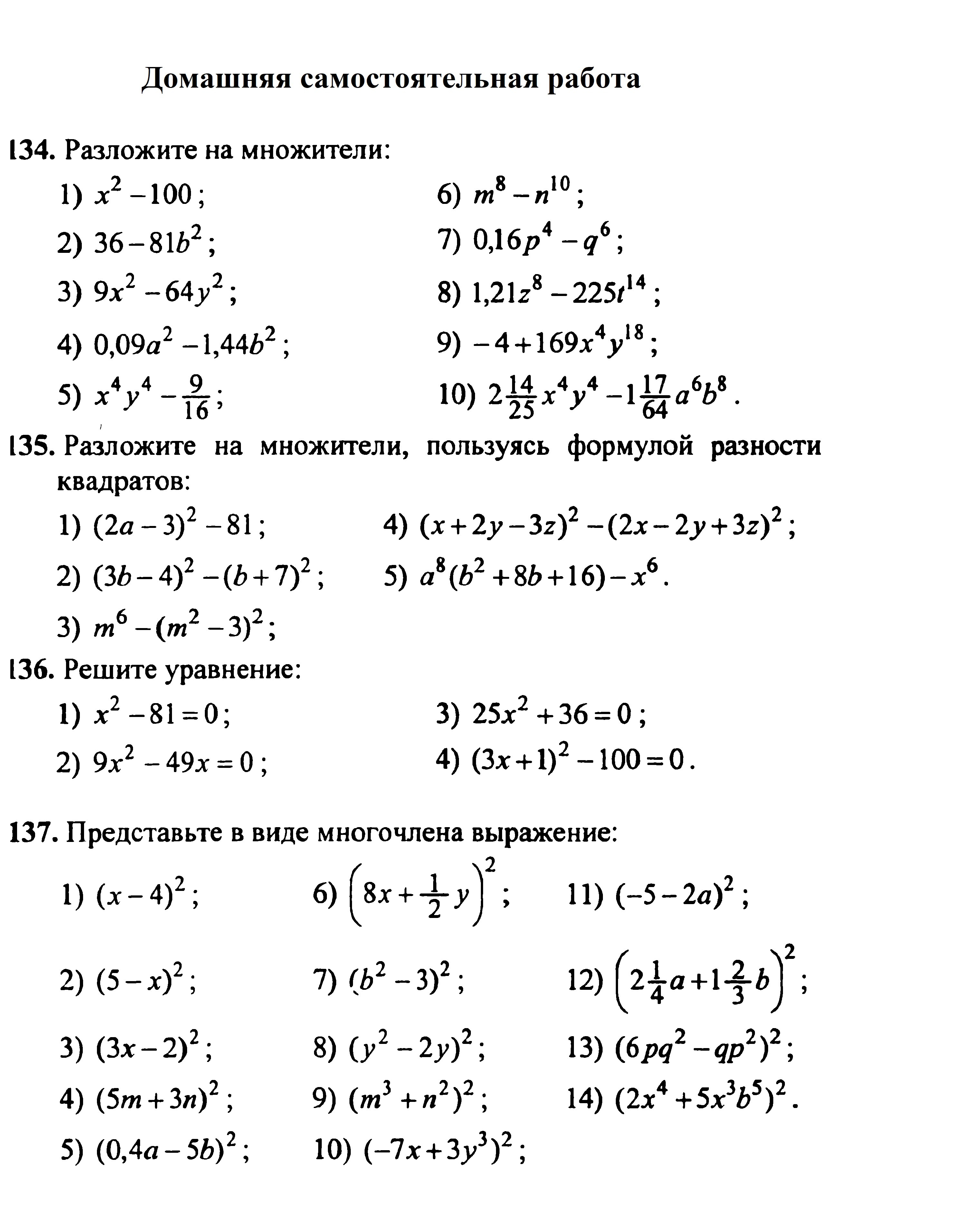
1. (x-10)(x+10)
2.(6-9b)(6+9b)
3.(3x-8y)(3x+8y)
Далее по анологии
135)
1. (2а-3-9)(2а+3+9)= (2а-12)(2а+12)
...
136)
1. (х-9)(х+9)=0
х=9
х=-9
...
137)
1. х^2-2*4х+16
...
Все практически одинаковые, попробуй решить также)
2.(6-9b)(6+9b)
3.(3x-8y)(3x+8y)
Далее по анологии
135)
1. (2а-3-9)(2а+3+9)= (2а-12)(2а+12)
...
136)
1. (х-9)(х+9)=0
х=9
х=-9
...
137)
1. х^2-2*4х+16
...
Все практически одинаковые, попробуй решить также)
Ответ дал:
0
спасибо
Вас заинтересует
2 года назад
2 года назад
3 года назад
3 года назад
9 лет назад
9 лет назад
10 лет назад