• Предмет: Математика
  • Автор: akbotas32
  • Вопрос задан 9 лет назад

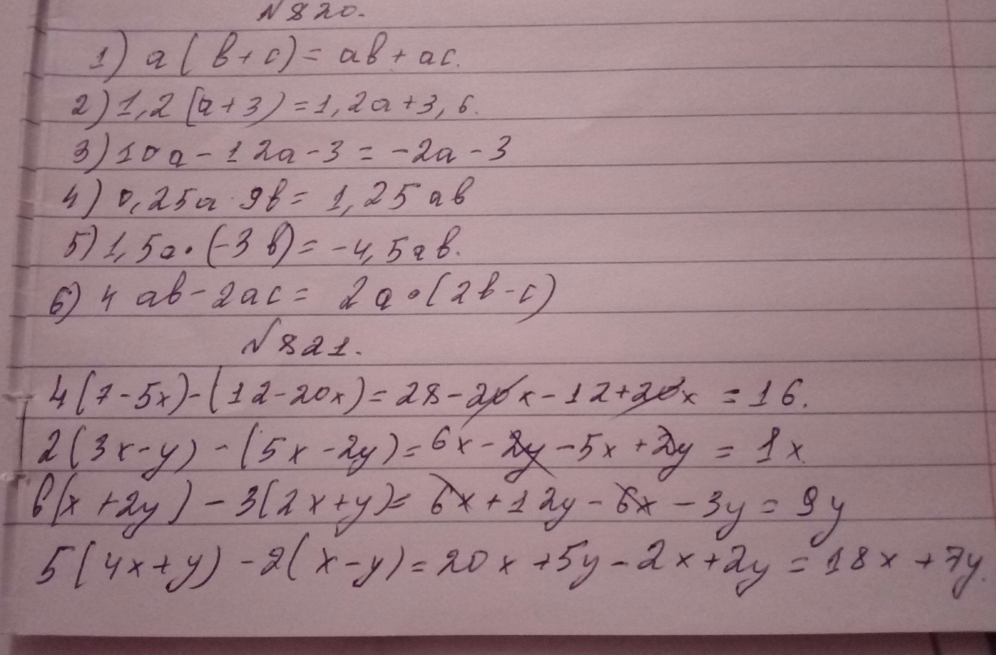
помогите пожалуйста с математикой 820 и 821

Приложения:

Ответы

Ответ дал: Адина0616594
0
Вот ответ.Если не понятно пиши.
Приложения:
Вас заинтересует