• Предмет: Алгебра
  • Автор: Niknamе
  • Вопрос задан 9 лет назад

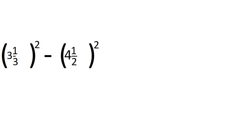
Вычислите формулы a²-b²= (a-b)(a+b) 20 балов

Приложения:

Ответы

Ответ дал: irakon63
0
(3.1/3-4.1/2)(3.1/3+4.1/2)=(-1.1/6)(7.5/6)=-7/6 *47/6 = - 329/36 = -9.5/36
Вас заинтересует