• Предмет: Математика
  • Автор: пантерка228
  • Вопрос задан 9 лет назад

помогите пожалуйста
огэ 9 класс

Приложения:

Ответы

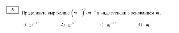
Ответ дал: Аноним
0
(m^ -3)^ 5=m^ -15
m^ -15 * m^ -2 =m^ -17
ОТВЕТ: 1) 
Ответ дал: Mberta14001
0
M^-15-m^-2=m^-17
Ответ:1
Вас заинтересует