Решите уравнение |2-x|=|x-1|+1
Распишите ход решения пожалуйста,не врубаюсь эту тему.Понимаю что элементарно
Ответы
Ответ дал:
0
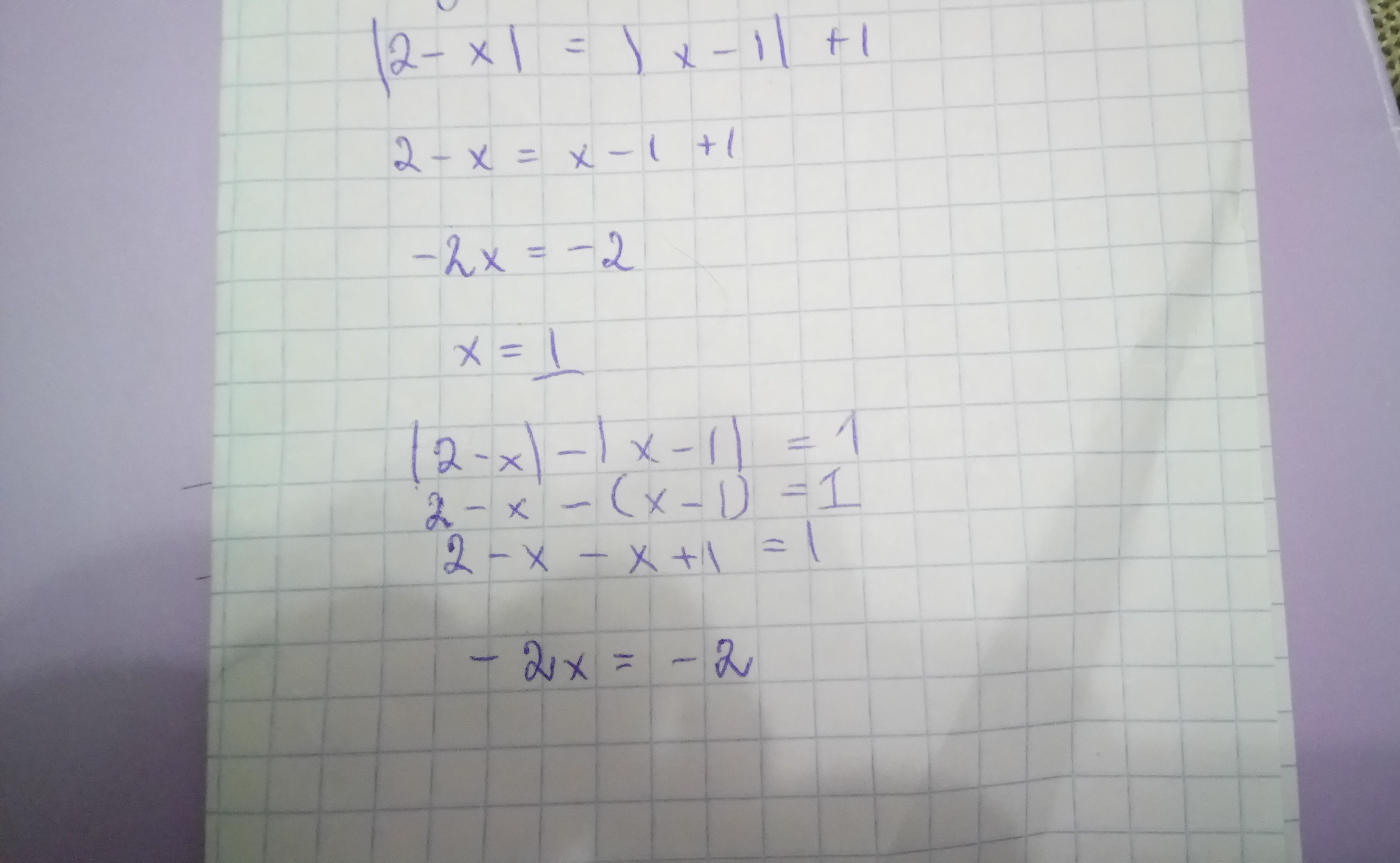
Вот тебе два способа решения.
Насколько я понял, эти скобки зовутся модулями, и когда ты их раскрываешь, первое число всегда положительное. А если перед такой скобок стоит минус, то решение этого ты можешь посмотреть во втором примере. Кстати, я забыл написать там, что х равен 1
Насколько я понял, эти скобки зовутся модулями, и когда ты их раскрываешь, первое число всегда положительное. А если перед такой скобок стоит минус, то решение этого ты можешь посмотреть во втором примере. Кстати, я забыл написать там, что х равен 1
Приложения:

Вас заинтересует
2 года назад
3 года назад
3 года назад
9 лет назад
9 лет назад
10 лет назад