• Предмет: Алгебра
  • Автор: yungfaller
  • Вопрос задан 9 лет назад

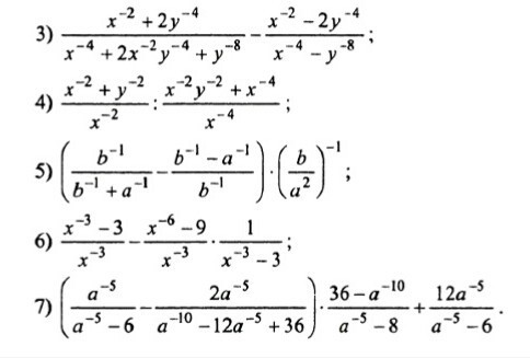
Решите примеры, пожалуйста

Приложения:

Ответы

Ответ дал: Часур
0
Пожалуйста. ..................
Приложения:
Вас заинтересует