• Предмет: Математика
  • Автор: Reginaj
  • Вопрос задан 9 лет назад

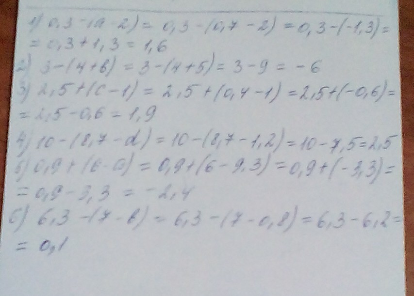
Упростите выражение и найдите его значение
1)0.3-(а-2) при а=0.7
2)3-(4+b) при b=5
3)2.5+(c-1) при с=0.4
4)10-(8.7-d) при d=1.2
5)0.9+(6-a) при a=9.3
6)6.3-(7-b) при b=0.8

Ответы

Ответ дал: olga200281
0
смотри ответ на фото
Приложения:
Ответ дал: Reginaj
0
Спасибо
Вас заинтересует