• Предмет: Математика
  • Автор: VENDETTOo3o
  • Вопрос задан 9 лет назад

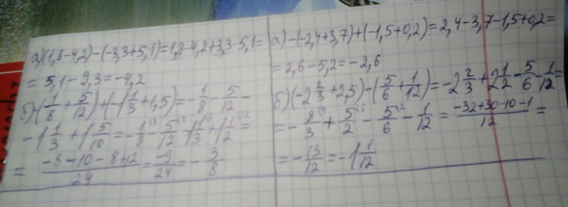
помогите!!!Б 1 и Б 2первое задание

Приложения:

Ответы

Ответ дал: Часур
0
......................
Приложения:
Вас заинтересует