• Предмет: Математика
  • Автор: Dashulya1406
  • Вопрос задан 9 лет назад

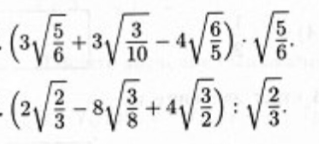
ПОМОГИТЕ ПОЖАЛУЙСТА!!!
ОЧЕНЬ НАДО!!!

Приложения:

Ответы

Ответ дал: LeraKID
0
Держи! Конец второго точно не знаю правильно или нет
Приложения:
Ответ дал: Nina1952
0
Смотри ///////////////////////////
Приложения:
Вас заинтересует