• Предмет: Математика
  • Автор: maksim55575
  • Вопрос задан 9 лет назад

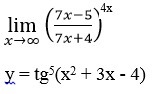
Помогите найти предел и производную:

Приложения:

Ответы

Ответ дал: ads14
0
будит 0 и все если не вериш провер в фотомаз
Вас заинтересует