• Предмет: Математика
  • Автор: kozhevnikov4241
  • Вопрос задан 9 лет назад

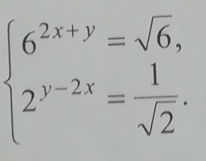
Решите систему уравнений.

Приложения:

Ответы

Ответ дал: Mikhail35
0
изи бро, убери фильтр в 20
Приложения:
Ответ дал: Mikhail35
0
а так да я согласен что я пропустил несколько этапов
Ответ дал: kozhevnikov4241
0
Получается неправильно предполагаю, в любом случае ответ не понятен.
Ответ дал: Mikhail35
0
чел решено правильно
Ответ дал: Mikhail35
0
я уверен
Вас заинтересует