• Предмет: Алгебра
  • Автор: kamilla208
  • Вопрос задан 9 лет назад

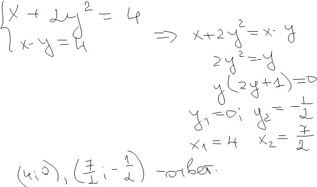
Система уравнений x+2y^2=4 x-y=4

Ответы

Ответ дал: Аноним
0
Рациональные способ подстановки.
Приложения:
Вас заинтересует