• Предмет: Математика
  • Автор: Zarry17
  • Вопрос задан 9 лет назад

вычислить интеграл:
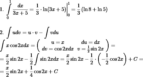
Интеграл(1-0)dx/3x+5
Интеграл x cos2x dx
Вы моя последняя надежда…

Ответы

Ответ дал: Trover
0
1.;intlimits_0^1frac{dx}{3x+5}=left.frac13cdotln(3x+5)right|limits_0^1=frac13left(ln8+ln5right)\\\2.;int udv=ucdot v-int vdu\int xcos2xdx=left(begin{array}{cc}u=x&du=dx\dv=cos2xdx&v=frac12sin2xend{array}right)=\=frac x2sin2x-frac12intsin2xdx=frac x2sin2x-frac12cdotleft(-frac12cos2xright)+C=\=frac x2sin2x+frac14cos2x+C
Приложения:
Вас заинтересует