• Предмет: Алгебра
  • Автор: nosVeraTu
  • Вопрос задан 9 лет назад

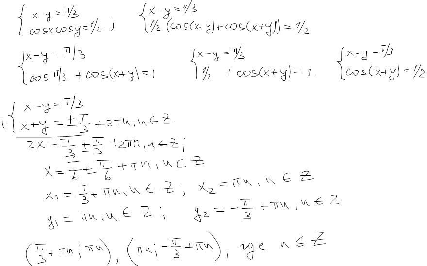
x - y = pi/3
cos x cos y = 1/2

Ответы

Ответ дал: Аноним
0
здесь проще от произведения перейти в сумму
Приложения:
Вас заинтересует