• Предмет: Математика
  • Автор: ggggg76hgvhtv
  • Вопрос задан 9 лет назад

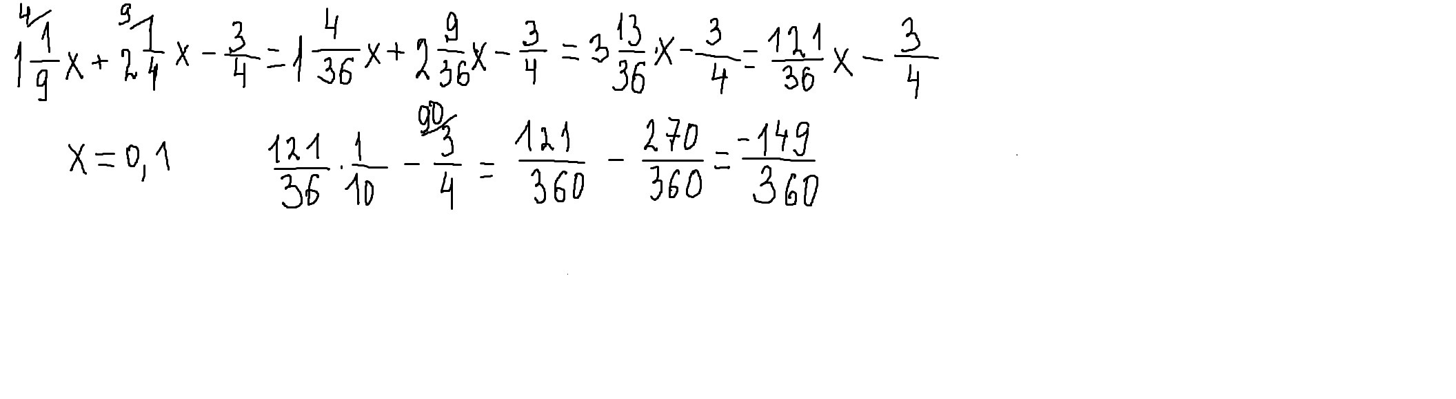
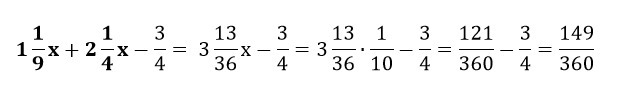
Найдите значение выражения 1целая 1/9х+2целая 1/4х-3/4 при х=0.1

Приложения:

Ответы

Ответ дал: RustamRaiden
0
Решил. Ответ на картинке.                                                                                                                          
Приложения:
Ответ дал: parus77
0
здесь надо было отдельно написать сначала выражение,а уже потом подставить значение Х.Эта запись математически не верная.
Ответ дал: parus77
0
решение смотри внизу
Приложения:
Ответ дал: parus77
0
20:11 ggggg76hgvhtv отметил нарушение в решении Пользователя parus77 -вот что написано у меня на страничке
Ответ дал: love67
0
parus77, бывает новички по незнанию жмут на все кнопки подряд
Ответ дал: ggggg76hgvhtv
0
Это была не Я
Ответ дал: love67
0
ага,наверное я)
Вас заинтересует