• Предмет: Алгебра
  • Автор: Goodboy100
  • Вопрос задан 9 лет назад

Нужно очень срочно !!!
пожалуйста

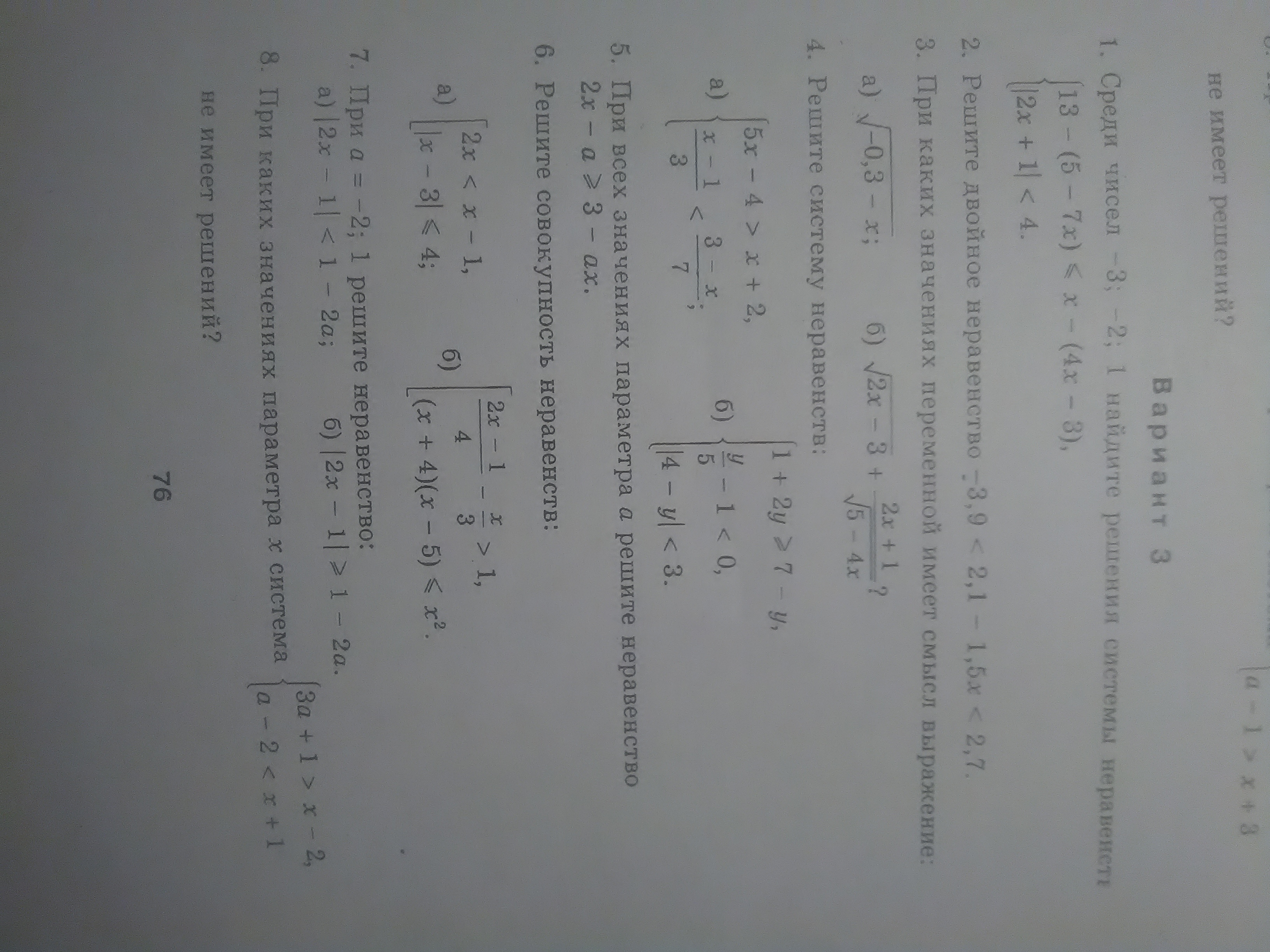
Приложения:

Ответа на этот вопрос пока нет. Попробуйте найти его через форму поиска.

Вас заинтересует