• Предмет: Алгебра
  • Автор: irareznikaa
  • Вопрос задан 9 лет назад

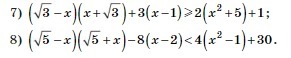
Решите неравенство, пожалуйста.

Приложения:

Ответы

Ответ дал: puma31
0
√3х+3-х^2-√3х+3х-3_>2х^2+11=х^2+3х_>2х^2+11
х(х+3)_>х(2х+11)
х=0 х=0; 2х+11=0
х=-5,5
х+3=0
х=-3
Вас заинтересует