• Предмет: Алгебра
  • Автор: katepavlichenkp2gqba
  • Вопрос задан 9 лет назад

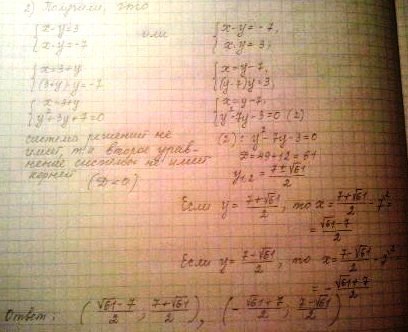
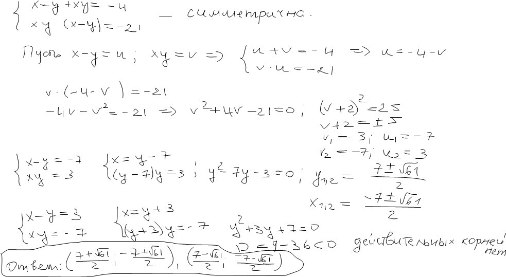
Система рівнянь
x-y+xy= - 4
xy(x-y) = - 21

Ответы

Ответ дал: Аноним
0
Система симметрична. Стандартная замена через u и v
Приложения:
Ответ дал: matilda17562
0
Проверьте, пожалуйста, правильность записи решения системы. Думаю, что Вами допущена ошибка.
Ответ дал: matilda17562
0
Решение во вложенных изображениях
Приложения:
Вас заинтересует