Ответы
Ответ дал:
0
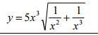
Var x,y: real;Beginwriteln('Введите x: ');readln(x);y:=5*sqr(x)*x*sqrt(1/sqr(x)+1/sqr(x)*x);writeln('y = ',y);end.
Ответ дал:
0
Var x,y: real;
Begin
writeln('Введите x: ');
readln(x);
y:=5*sqr(x)*x*sqrt(1/sqr(x)+1/sqr(x)*x);
writeln('y = ',y);
end.
Begin
writeln('Введите x: ');
readln(x);
y:=5*sqr(x)*x*sqrt(1/sqr(x)+1/sqr(x)*x);
writeln('y = ',y);
end.
Вас заинтересует
2 года назад
3 года назад
9 лет назад
9 лет назад
10 лет назад