• Предмет: Математика
  • Автор: Kirill11213
  • Вопрос задан 9 лет назад

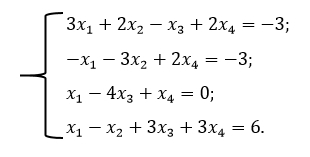
Решить систему уравнений методом Гаусса. Указать общее и одно частное решения.

Приложения:

Ответа на этот вопрос пока нет. Попробуйте найти его через форму поиска.

Вас заинтересует