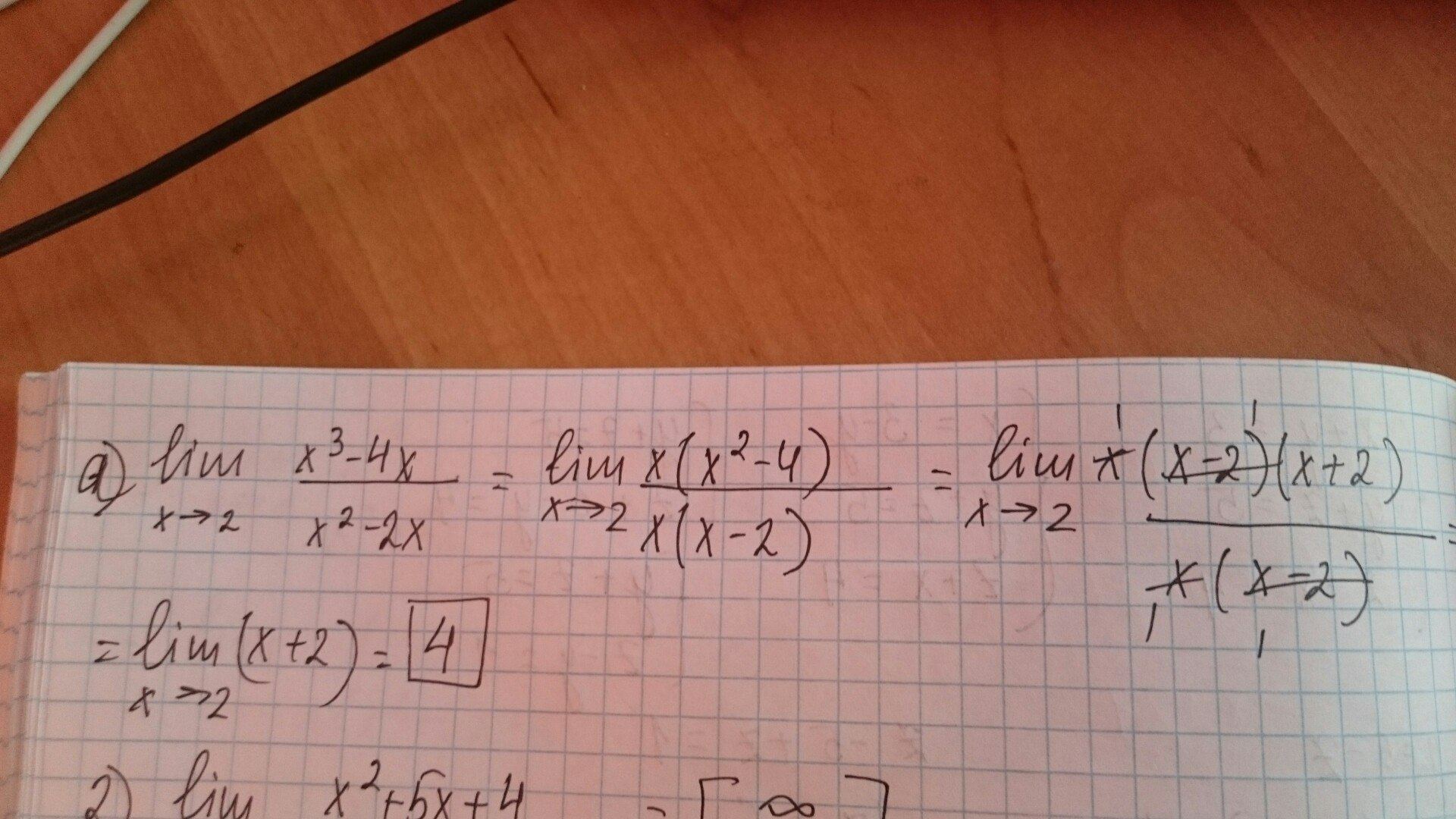
Помогите, пожалуйста: 1) Вычислить пределы: а)
б) 
2) Найти производную функции (y'x) и вычислить ее значение при x=1: а) y=
㏑x б) y=
в)
Ответы
Ответ дал:
0
.........................
Приложения:


Вас заинтересует
2 года назад
2 года назад
3 года назад
3 года назад
9 лет назад
9 лет назад
10 лет назад